全文4万多字河南锤式废薄板破碎机,本篇仅展示有关本工程施工特点的章节河南锤式废薄板破碎机,其余关于方案通用部分详见源文件。
基坑围护主要工作量
序号
项目名称
数量
设计参数简述
1
灌注桩
403根
围护桩Φ700@900,有效桩长12.3m~15.7m
62根
围护桩Φ800@1000,有效桩长12.90~15.75m
2
立柱桩
44根
立柱桩Φ700@900,有效桩长19m
钢格构柱
44根
立柱采用钢格构柱4L125×12型钢,截面尺寸420mm×420mm,
3
坑外二轴桩止水帷幕
约2600m3
Φ700@500,有效桩长平均约9m,
水泥含量15%
坑内二轴桩
约2700m3
Φ700@500,有效桩长4m,水泥含量15%
二轴空搅
约2700m3
Φ700@500,桩长7.4m,水泥含量6%~8%
5
支撑与围檩
约710m3
围檩1000×700mm,
主撑600×700mm,次撑500×700mm
6
外运土方
约4.0万m3
自上而下分层、从中间分向两端开挖,
主要从南、东、西三个出土口进行土方外运
7
一级放坡
喷锚
约1000m2
基坑周边,自然土平面开挖降方至-1.65m,坡度1:1,挂网喷射C20细石砼,厚80mm,内配Φ8@200双向单层钢筋网片。
8
桩间喷锚
约1500m2
挂网喷射C20细石砼,厚80mm,内配Φ8@200双向单层钢筋网片。
9
钢筋砼拉板
约90m3
300mm厚C30钢筋砼现浇板
10
换撑
约270m3
现浇C35素砼
11
截水沟
约850m
50mm厚碎石垫层、150mm厚C15砼垫层、砖砌
120mm厚挡水墙、两侧和沟底1:2.5防水砂浆粉刷。
3.4 主要分部分项施工区段划分及施工安排本工程分为基坑围护结构工程、土方工程两大部分,但由于周边小区急切需要本小学开学,加之基坑围护设计较晚,业主要求本工程增加机械设备、施工人员分班上岗加班进行赶工,机械设备须按照工程抢工进度的需要进行安排。
(1)围护桩、立柱钻孔灌注桩
本工程围护桩Φ700桩403根,有效桩长12.3-15.7m,Φ800桩62根,有效桩长12.95~15.75m,施工台效约为Φ700桩2~3根/天·台;立柱桩Φ700桩44根,有效桩长19m,施工台效约为1根/天·台;按照业主抢工期的要求拟进场4台GPS-10钻机,另1台备用,预计45~50天完成。
(1)二轴水泥土搅拌桩
本工程基坑围护灌注桩外止水帷幕采用二轴水泥搅拌桩,预计方量约2700m3;消防泵房、电梯基坑和配电间等坑中坑部位均采用二轴水泥搅拌桩悬臂支护,基坑内在基础垫层部位局部采用二轴水泥搅拌桩暗墩进行基坑支护系统加固,预计总方量约3000m3,按照业主抢工期的要求,拟进场2台二轴搅拌桩机,在基坑支护钻孔灌注桩完成足够的工作面后跟进施工,根据每台机械施工工效日产量为40幅左右,施工约45天完成。
(2)一级放坡土方开挖、挂网喷浆施工,预计土方开挖12000m3,坡面挂网喷浆1000m2,预计12天完成。
(4)围檩、支撑体、桩间锚喷
本基坑设计在顶部-1.65m处设有一道支撑体系安排本项目施工班组在一级放坡挂网喷浆后跟进施工,预计需25天完成。
(5)土方
本基坑面积适中,深度也一般,支撑以下基坑预计出土方量2.6万m3;设计有一道支撑体系,但基坑内下部土方含水量较大,给机械挖土及土方外运车辆运土带来较大的困难,需相互密切配合施工,拟完成土方时间为25天。
第六章 施工工序及施工方法6.1.钻孔灌注桩、立柱桩施工方法及施工技术措施根据设计方案及基坑支护设计方案,结合钻孔灌注桩和立柱桩的工程量情况,拟先安排4台钻孔灌注桩桩机从基坑居中基础筏板膨胀加强带开始沿基坑南北两侧,由中间分别向东西两端进行钻孔灌注桩施工,待形成合适(有足够的施工安全距离)工作面后,再增加一台桩机,在时间上采取中间插入跟进的方法从中间向东西两端进行立柱桩施工,以形成小流水施工;另外在立柱桩施工之后,在基坑外围安排二台二轴桩机自中间跟进进行基坑外侧止水帷幕施工。考虑工程工期,我公司计划另安排1台备用以保证工程连续施工之需要。
6.1.1钻孔灌注桩.施工工艺流程测放桩位采用全站仪坐标法对每根桩位放样,桩位偏差控制在1cm以内。桩位确定后使用挖机清障;清障完成后,回填土;再重新进行放样。
6.1.3建立泥浆循环系统(1)废浆池
施工时应根据需要开挖废浆池,不得渗漏泥浆。并及时每天将泥浆外运处理。
(2)清水池
置换泥浆时要加入清水,需建立蓄水池,将施工用水放入池中,再用泵抽至泥浆循环池。
6.1.4 施工场地处理根据施工现场情况,为了满足桩机及商品混凝土罐车行走条件,桩机施工场软土场区进行平整压实铺设施工便道,场地布设好泥浆循环收集系统。施工前清除桩位处地下障碍物。
6.1.5.围护桩桩与桩的施工顺序为防止相邻桩串孔或影响邻桩的成桩质量,相邻桩的成孔施工以满足4D(D为钻孔灌注桩桩径)或不少于36小时为宜,本工程围护桩钻孔灌注桩采用隔三桩跳桩法进行。
钻孔灌注桩隔三桩法施工顺序图
施工顺序:1→2→3→4→5→6→7→8→9→10→11→12→13→14→15→16
6.1.6.施工工艺6.1.6.1.钻机就位
钻机就位后,钻杆中心对准桩位(用测锤测定),使用两台经纬仪从两个方向校正主动钻杆垂直度,用千斤顶调整机座的水平,保证钻杆垂直度不超过0.5%。
6.1.6.2.成孔
(1)孔方法
采用正循环泥浆护壁钻进成孔。
(2)钻头使用笼式锥型钻头,钻头外径控制在-20mm。
(3)成孔过程原理:钻机开钻,用泥浆泵将已制泥浆打入孔内,根据不同土层注入不同比重泥浆,排出泥浆比重为1.2~1.3。
(4)控制钻进速度:在素填土层钻进过程中,转速控制在40r/min,在粘土层及粉质粘土层中,再转入正常的钻进速度:128r/min。对于其他土质中钻进速度以钻机不超负荷为准。对于硬质土层中钻进速度以钻机不跳动为准。
(5)在成孔前,施工员会同监理对钻机的主副钻杆和钻头进行丈量,以便于钻孔过程中,保证机长清楚钻机的钻具总尺寸及钻杆余长,并在主钻杆上作好明显的标记。
(6)在成孔过程中,确保孔径,成孔桩深符合要求,准确丈量钻头直径,钻杆长度,并记录在案,发现有钻头磨损及时修补更换。
(7)造浆要求:钻机开钻后,泥浆从回浆池经钻杆射入孔内。孔内泥浆采用自排式和回送形式进行。本工程土层除粉砂粉土外均为粉质粘土、粘土层,可用清水,以原土造浆护壁、排渣。施工中应勤测泥浆比重,及时调整。
(8)每根钻杆钻进结束后,提起30~50cm,用慢速空钻2~3 min,再加接钻杆,直至达到设计深度。
(9)成孔过程中,做好施工原始记录,记录内容:转盘标高、护筒标高、开钻时间、终孔时间、钻杆钻孔深度等均详细记录。每个孔钻孔完毕后,作一系列验收工作。测量泥浆比重、成孔深度,使用钻杆作一次清孔,排出泥浆比重1.2。
6.1.6.3.第一次清孔
(1)当成孔至设计深度后,提升钻具离孔底30~50cm,用慢速进行空钻,及时调整注入孔内的泥浆比重,比重控制在1.15。
(2)一次清孔结束后,排出孔口的泥浆比重应小于或等于1.20,用测锤测定孔深及孔底沉渣。测锤重量不应小于3㎏,测绳用标准水文测绳。控制围护桩孔底沉渣厚度≤200mm,立柱桩≤100mm。
6.1.6.4.钢筋笼制作和安放
(1)所有钢筋进场后立即取样送检,试验合格后方可进行制作。主筋连接必须先做焊接试验,合格后方可施工。
(2)选用合适的焊条,焊接时防止电流过大而烧伤钢筋,影响焊接质量。主筋接头要间隔错开,其错开距离必须满足规范要求。
(3)主筋与加强筋的焊接要牢固可靠,环箍与主筋的点焊不得漏焊。特别是吊筋与钢筋笼的焊接更要注意,防止脱焊导致钢筋笼下沉。
(4)为保证钢筋与桩身保护层均匀,并使钢筋笼下入孔内不致碰坏孔壁,在加强筋四面放置素砼预制的直径为100mm垫圈,每隔4m放置一道,以保证钢筋的保护层。
(5)根据钢筋长度分段制作,堆放及吊运时注意钢筋笼不能变形,起吊可用二或四点吊放,吊放时用水准仪控制其标高,放笼时采用2根Φ12吊筋,准确按标高固定在机架上。
(6)钢筋笼下放时遇到障碍时采用徐起徐落,正反旋转钢筋笼即可解决,不要猛起猛落。
(7)钢立柱按照设计要求插入立柱桩钢筋笼3m。
6.1.7.钢筋笼制作及安装允许偏差(单位:mm):主筋间距:±10 箍筋间距及螺旋筋间距±20
钢筋笼直径:±10 钢筋笼长度:±100
保护层:±10
主筋钢筋连接:采用单面搭接焊,每300个接头,随机抽检抗拉试件一组。
钢筋笼安装允许偏差(单位mm):
倾斜度:≤0.5% 骨架中心平面位置:20
骨架顶标高:±20
6.1.8.第二次清孔及砼灌注6.1.8.1.导管制作与安装:根据本工程钻孔桩,桩径为Φ700、Φ800mm,选用导管直径为Φ300mm,导管壁厚4mm。导管单节2m(首节下口导管≥4.0m)导管安装前,应在地面拼接并做密封性闭水试验,密封试验合格后,方可投入使用。
6.1.8.2.导管安放及第二次清孔,根据孔径、计算下放导管的节数(导管距孔底30~50cm),导管全部按垂直密封要求下好后,再套上胶管开始第二次清孔。清孔过程中注入比重为1.10的泥浆,当最终测得泥浆比重小于1.20,同时孔底沉渣小于50mm,即可停止二次清孔,按装料斗开始浇灌砼,砼采用商品砼,按水下灌注砼要求配制。
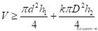
6.1.8.3.钻孔灌注桩混凝土初灌量计算(按专家要求增加):
,式中
——混凝土初灌量(m3);
——桩孔深度(m);
——导管内混凝土柱与管外泥浆柱平衡所需高度(m);
——初管混凝土下灌后导管外混凝土面高度,取1.7m(导管底至槽底深0.5m,导管埋深取1.2m);
——导管内径(m),取0.3m;
——桩孔直径(m);
——充盈系数,取1.1;
——泥浆密度,取12kN/m3;
——混凝土密度,取24kN/m3。
钻孔灌注桩混凝土初灌量汇总表
序 号
施工部位
桩径
有效桩长(m)
混凝土初灌量(m3)
说 明
1
ABCDEFGH、XYA段
ø 700
12.3
≥1.09
取0.3m
取1.7m
2
HJK段
ø 800
12.9
≥1.34
3
KL段
ø 700
15.7
≥1.21
4
LMNP、RS段
ø 700
15.1
≥1.19
5
PQ段
ø 800
15.1
≥1.41
6
QR段
ø 800
15.75
≥1.44
7
STU、VWX段
ø 700
12.3
≥1.09
8
UV段
ø 800
13.1
≥1.34
9
出土口一、三
ø 700
12.3
≥1.09
10
出土口二
ø 700
15.7
≥1.21
6.1.8.4.灌注砼
灌注的混凝土采用C30水下商品混凝土,塌落度180±20mm。
在导杆上装上料斗,把预先做好的隔水栓用铁丝盖在导管口。再注放初灌量砼后,首灌砼的量要保证能使导管埋入砼的深度在1.7m以上。注放初灌量后,立即把隔水栓铁丝剪断后,料斗的砼快速下沉到桩底,这时应保持连续灌注,以维持导管内外混凝土高差。
4)混凝土浇灌与导管拆卸
随着砼的上升,应相应提升和拆卸导管,但应保证管端底部埋入砼面以下2~3m,任何情况下,不得小于1m,严禁把导管提离砼面,拆卸导管前必须以测锤测量砼面,导管底端埋入砼深度不宜大于6m,否则易使钢筋笼浮起。提升导管后,在浇灌架上应有随时可以快速将其固定的手段或装置提升及拆卸导管应在15min内完成,以防砼在导管内部停留时间过长,造成堵管事故。
砼应连续浇灌,不得中断。
当砼上升到距孔口4m左右时,由于砼的自由落距越来越小,应经常将导管上下反插,以增加桩顶砼的密实度。
每根桩在灌注过程中必进行塌落度测定,检查砼的塌落度是否满足180±20mm范围内,如不满足,应及时调整其水灰比。
灌注结束后,计算砼的充盈系数,充盈系数为≧1.1,超灌高度控制在1倍桩径以上。
6.1.9.灌注桩质量检验措施
本工程灌注桩作为围护桩,需进行桩身完整性检测,采用低应变动测法。桩身完整性抽检数量不得总桩数的20%, 且不得少于5根。并留置砼试块,进行抗压试验,按照规范规定直径1m或混凝土量超过25m3的单桩留置1组试块,直径小于1m或不足25m3/桩每台班留置一组试块。
6.1.10.立柱桩
立柱信息表
立柱类型编号
LZ1
LZ2
LZ3
立柱钻孔桩有效桩长m
19
19
19
灌注桩直径(mm)
Ø700
Ø700
Ø700
灌注桩顶标高
-5.6m
-7.25m
-8.05m
格构柱型钢顶标高
-1.80m
格构柱型钢底标高
进入灌注桩3m
角钢类型
4L125x12型钢
立柱桩施工基本同常规钻孔灌注桩成孔施工,根据设计要求立柱桩垂直度偏差不大于1/300,格构柱插入桩顶以下3米,故成孔时,应采用垂直度好、钻杆刚度好的钻机,成孔时用全站仪再作垂直度的校正。
钢筋笼与格构柱连接处,格构柱四面采用两根长1mØ10钢筋斜向与钢筋笼纵向钢筋焊牢,搭接长度不小于10mm,钢筋具有一定长度形成柔性连接,以便能使格构柱作相对微量调整,格构柱安放前,先进行钢筋笼的安放,钢筋笼严格按照前面叙述的钢筋笼吊装法进行,吊放入孔时,必须垂直并确保桩孔和钢筋笼的同心度,且搁置平稳;钢筋笼安放后,进行格构柱正架的安装,根据设计要求,格构柱各边与支撑梁平行,格构柱校正架定位时除四面刻有“十字”线记号,用于对准桩孔中心,还将格构柱校正架各边与梁线平行。
立柱桩施工质量要求:
(1)成桩中心与灌注桩中心偏差<50mm;
(2)桩身垂直度偏差不大于1/300;
(3)浇筑灌注桩砼前,桩底沉渣厚度不大于50mm;
(4)立柱桩桩身砼强度等级C30;
(5)立柱桩桩身砼超灌高度不小于2.5m;
(6)立柱中心与钢筋笼中心应在同一轴线上,成桩后的桩身垂直度偏差不大于1/300,立柱顶标高与设计标高偏差小于30mm。
6.2.双轴搅拌桩(外围止水帷幕和局部暗墩加固)施工
6.2.1 施工技术要求
(1)双轴深层搅拌桩施工前应进行成桩工艺及水泥掺入量的配合比试验,以确定相应的水泥掺入比等施工参数。
(2)施工第一批桩(不少于3根)必须在监理人员监管下施工,以确定实际水泥投放量、浆液水灰比,浆液泵送时间,搅拌下沉及提升时间、桩长及垂直度控制方法,以便确定双轴水泥搅拌桩的正常施工控制标准。
(3)双轴深层搅拌机叶片直径700mm,搭接200mm,间距500mm。
(4)浆液水灰比0.5,内插管桩的水灰比适当增大,水泥掺入量15%,并根据实际配合比试验确定水泥掺量及掺入适量早强剂等外加剂。
(5)深搅桩桩体采用两喷三搅,连续施工,相邻桩间歇不得超过10h。
(6)双轴搅拌机下沉速度不大于0.5m/min,提升速度不大于0.8m/min,并保持匀速下沉与匀速上升。
(7)钻头每转一周提升或下沉1.0-1.5cm为宜,确保有效桩长范围内桩体的均匀性。
(8)桩体垂直度偏差不得大于1/200,桩位偏差不得大于50mm。
(9)水泥土搅拌桩28天无侧限抗压强度大于0.7MPa,达到此强度时方可开挖。
(10)因故搁置超过2h以上的拌制浆液,应作为废浆处理,严禁再用。
(11)桩与桩的搭接时间不宜大于12h,若因故超时,搭接施工中必须放慢搅拌速度以保证搭接质量。
(12)应采用钻芯法检测水泥土搅拌桩的单轴抗压强度、完整性、深度。钻芯检测桩数不应少于总桩数的1%,且不应少于6根。
6.2..2 施工工艺流程
双轴搅拌桩工艺流程
6.2.3. 施工方法
(1)施工方向:总体施工方向为自中间向东西两端,在钻孔灌注桩和立柱桩后跟进施工。
(2)桩机就位:深层搅拌机到达指定桩位后对中。调整机身,使设备保持水平,钻杆呈铅直状态。对中允许误差为20mm;垂直度允许误差为0.5%。
(3)桩机启动:待深层搅拌机的冷却水循环正常后,启动搅拌机电机,放松起重机钢丝绳,使搅拌机沿导向架搅拌切土下沉,下沉速度可由电机的电流监测表控制,工作电流不应大于70A,下沉速度控制在0.5m/min。
(4)水泥浆制备与储存:拌制浆液的原材料必须经过严格的计量后才能投入拌和机中。各种原材料的量差应不超过2%(重量计)。水泥掺入量为15%,宜通过现场试验确定最佳水泥掺入量。
(5)浆液压送:压送浆液前,应对输浆用的高压胶管进行严格的检查。检查的内容包括管内残留物的清除和高压水试压检查,经试压检查而发现漏水的胶管不得使用。灰浆泵应使用经过年检标定合格的压力表。并对泵体、柱塞和电器设备进行检查。灰浆泵的性能应满足铭牌额定值。浆液压送前应对浆液的稠度进行最后确认。
(6)预搅下沉:根据工程情况,应先施工6根工艺试成桩。通过工艺试成桩标定各项施工技术参数(桩底、桩顶标高、停灰面标高和下钻速度及提升速度控制)、调整浆液体配合比和检验各种机械设备配合运转工作等。
搅拌下钻时机架定位应准确,机架底盘(含轨道)应抄平,并且行走范围内的地基应事先整平(回填土填平的地基应夯实), 确保桩的垂直度偏差不超过0.5%,桩位偏差不超过50mm。
搅拌开始至桩顶设计标高应事先做好制备浆液和压送浆液的各项准备工作,以保证喷浆能连续不间断进行。搅拌过程中遇到的异常情况或机械故障应在现场及时研究解决。
(7)喷浆提升:至设计桩底标高后,先座底喷浆30秒左右,可开始向上提升喷浆。
喷浆时的提升速度不大于0.5m/min。并根据桩径、水泥掺入比、压浆泵额定流量、喷浆次数和被加固土体的重度等进行控制,以保证提升速度和压浆流量相匹配。
喷浆时压浆泵的压力应控制在0.4~0.6MPa范围,搅拌机边喷浆边旋转边按一定的速度提升,直至设计要求桩顶标高,集料斗浆液正好排空。
在喷浆提升过程中若中途因压停浆时,应将搅拌头下沉至停浆点以下50cm,待恢复供浆后再提升喷浆。若停浆超过三个小时,应考虑拆管清洗为妥。
双轴搅拌机2次下沉速度与搅拌提升速度应控制在0.5m/min以内,并保持匀速下沉与匀速提升。为保证搅拌均匀,增加第3次搅拌。在喷浆提升至桩顶标高时,应停止提升,继续搅拌数秒钟,以保证桩头密实。施工停浆面必须高出桩顶标高50cm。
(8)为防止本工程下部局部土质稍硬,在机械选择上采用功率较大的双轴搅拌桩机,动力头采用55KW的双轴搅拌桩。
6.2.4.施工质量保证措施
(1)正式施工前,严格按照设计要求和国家、地方的有关规范、规程的要求进行试成桩,以确定针对本工程地质条件的实际水泥浆液的掺量和水灰比、成桩工艺和施工步骤,确保水泥土的强度满足设计要求。
(2)孔位放样误差小于50mm,钻孔深度误差小于±5cm,桩身垂直度按设计要求偏差小于1/300桩长。施工前严格按照设计要求进行定位放样。
(3)严格控制浆液配比,做到挂牌施工,并配有专职人员负责管理浆液配置。严格控制钻进提升及下沉速度。
(4)施工前对搅拌桩机进行维护保养,尽量减少施工过程中由于设备故障而造成的质量问题。设备专人负责操作,上岗前必须检查设备的性能,确保设备运转正常。
(5)桩架垂直度水准器调整桩架垂直度,并用经纬仪经常校核。
(6)场地布置综合考虑各方面因素,避免设备多次搬迁移位,尽量保证施工的连续性。
(7)严禁使用过期水泥、受潮水泥,对每批水泥进行复试合格后方可使用。
(8)施工时应保证水泥土能够充分搅拌混合均匀。桩施工时,不得冲水下沉,相邻两桩施工间隔不得超过10h。提升速度不宜过快,避免出现真空复压、孔壁塌方现象。
6.2.5.确保桩身强度和搅拌均匀性要求
(1).采用人工控制,严格控制每桶搅拌桶的水泥用量及液面高度,用水量采取总量控制,并用比重仪随时检查水泥浆的比重。
(2)土体应充分搅拌,严格控制钻孔下沉、提升速度,使原状土充分破碎,有利于水泥浆与土均匀拌和。
(3)搅拌机械的搅拌头的宽度与搅拌轴的夹角及搅拌头的回转数,提升速度、搅拌轴长度应相互匹配,以确保搅拌深度范围内土体的任何一点均能经过20次以上搅拌
(4)浆液不能发生离析,水泥浆液应严格按预定配合比制作,为防止灰浆离析,放浆前必须搅拌30秒再倒入存浆桶。搅拌设备、水泥浆泵必须性能完好,且确保不离析。
(5)压浆阶段输浆管道不能堵塞,不允许发生断浆现象,全桩须注浆均匀,不得发生土浆夹心层。
(6)发现管道堵塞,应立即停泵处理。待处理结束后立即把搅拌钻具上提和下沉1.0m后方能继续注浆,等10~20秒恢复向上提升搅拌,以防断桩发生。
6.2.6.质量检验方法
搅拌桩质量检查进行现场取芯试验抽检数量不应少于总桩数的1%,且不得少于6根。每根桩的取芯数量不宜少于5组,每组不宜少于3件试块。应在全桩长范围内连续钻取的桩芯上取样,取样点应取沿桩长不同深度和不同土层处的五点,且在基坑坑底附近应设取样点。钻孔取芯完成后的空隙应注浆填充。试块28d无侧限抗压强度不小于1.0MPa,试验报告及时提交监理与业主。
6.3.锚喷护壁施工6.3.1.设计方案的施工要求根据设计方案,在土方分层开挖后,先检查灌注桩桩间土,如有坍陷,则先喷射C20细石砼填平洼陷处,并安排专业植筋队按照设计要求进行挂网锚筋的植筋施工,植筋沿每根桩上下植设,钢筋为Φ16,上下间距500;灌注桩内壁采用挂φ8@200单层双向钢筋网片,钢筋网片横向拉筋为Φ16@500,喷80mmC20细石混凝土护壁墙。
面层施工:喷射设计强度C20,均P42.5普通硅酸盐水泥,厚80mm;混凝土配合比为水泥:砂:石=1:2:2,水灰比0.4~0.5,碎石粒径不宜大于12mm;喷射混凝土中添加水泥重量的3%喷射混凝土速凝剂;钢筋网规格φ8@200双向,横向加强筋φ16@500,各施工段钢筋网之间搭接长度不小于200mm。
喷射混凝土作业应符合下列规定:
(1)喷射作业应分段进行,同一分段内喷射顺序应自下而上;
(2)喷射混凝土时,喷头与受喷面应保持垂直,距离宜为0.6~1.0m;
(3)喷射混凝土终凝2h后,应喷水养护,养护时间根据气温确定,宜为3~7h。
喷射混凝土面层中的钢丝网铺设应符合下列规定:
(1)钢筋网保护层厚度不宜小于20mm;
(2)施工时可在钢筋网片后适当垫砖块或插入短钢筋进行固定。网片连接处搭接长度不小于200mm。
6.3.2.喷混凝土施工工艺措施各工序作业首先要认真遵照设计文件和施工规范要求进行。结合以往施工经验,各工序作业要点如下:
6.3.2.1.现场试验
结合以往施工经验,通过室内试验即可优化选择出既满足施工需要,又符合设计要求的喷射混凝土生产工艺参数和配合比。
6.3.2.2.准备工作
埋设好喷厚控制标志,作业区有足够的通风照明,喷前要检查所有机械设备和管线,确保施工正常。对渗水面做好处理措施,备好处理材料,联系好仓面取样准备。
6.3.2.3.拌和及运输
拌和配料严格按试验确定的配合比精确配制搅拌,搅拌时间要足够,拌合料运输、存放要防雨、防污染,入机前严格过筛,其运输、存放时间应符合有关技术指标。
拌和用水泥选用符合国家标准的普通硅酸盐水泥,其标号不低于P.O42.5。
骨料:拌和用细骨料应采用坚硬耐久的粗、中砂,细度模数宜大于2.5,含水率控制在5~7%;粗骨料采用坚硬耐久的卵石或碎石,粒径不超过15mm;不得使用含有活性二氧化硅的骨料。
6.3.2.4.水:拌和用水应符合招标文件规定。
外加剂:速凝剂的质量应符合DL/T5100的有关规定及施工图纸要求并有生产厂家的质量证明书,初凝时间不得大于5min,终凝时间不得大于10min,选用外加剂须经监理人批准。
混合料搅拌应遵循以下规定:
采用容量小于400L 的强制式搅拌机拌料时,搅拌时间不得少于1min;采用自落式搅拌机拌料时,搅拌时间不得少于2min;混合料有外加剂时,搅拌时间应适当延长;钢纤维喷混凝土采用钢纤维播料机向混合料添加钢纤维,搅拌时间不少于3min。
6.3.2.5.坡面准备
处理好光滑开挖面;安设工作平台;埋设控制喷射混凝土厚度的标志;在受喷面滴水部位埋设导管排水,对坡面进行整平压实,然后自坡底开始自下而上分段分片依次进行喷射。严禁在松散土面上喷射混凝土。
6.3.2.6.钢筋网
坡面防护:喷C20砼、钢筋网、锚杆、排水孔。
钢筋网由I级钢筋加工而成。先喷3cm~5cm厚的混凝土,再尽量紧贴坡面挂钢筋网,并与锚杆和附加插筋(或膨胀螺栓)连接牢固,最后施喷达到设计厚度。
6.3.2.7.喷射要点
喷射混凝土作业分段、分片依次进行,喷射顺序自下而上,避免回弹料覆盖未喷面。分层喷射时,后一层在前一层混凝土终凝后进行,若终凝1h以后再行喷射,应先用高压风水冲洗喷层面。喷射作业紧跟开挖工作面,混凝土终凝至下一循环时间不得少于3h。
喷射作业严格执行喷射机的操作规程:应连续向喷射机供料;保持喷射机工作风压稳定;完成或因故中断喷射作业时,应将喷射机和输料管内的积料清除干净,防止管道堵塞。
为了减少回弹量,提高喷射质量,喷头应保持良好的工作状态。调整好风压,保持喷头与受喷面垂直,喷距控制在0.6m~1.2m范围,采取正确的螺旋形轨迹喷射施工工艺。刚喷射完的部分要进行喷厚检查(通过埋设点、针探、高精度断面仪检测)不满足厚度要求的,及时进行复喷处理。挂网处要喷至无明显网条为止。
6.3.3. 挂网喷浆质量检查护壁厚度检测可通过凿孔法与钻孔法,孔的数量按100m2/组抽取,1组为3个点,厚度平均值应大于设计厚度,最小值不应小于设计厚度的100%。
强度检查一般通过试块抗压强度检查。
6.4. 支撑体系施工
6.4.1.支撑梁施工工艺流程图首先采用机械将超灌砼凿至桩顶上1m露出,然后人工在桩顶标高位置用凿岩机开眼将桩头挤断,用挖掘机将桩头拔除。最后用风镐将桩顶修平,测量人员随时跟进。
6.4.3.支撑梁垫层支撑梁垫层采用商品砼,厚度10cm,上铺旧模板,以便支撑梁浇筑后,能够与垫层有效剥离。
6.4.4.钢筋工程①所用的钢筋必须保证质量,钢材合格证及复检报告齐全后可进行加工。
②钢筋全部在现场钢筋加工场地加工制作好,并挂牌标识,运至施工现场安装。圆梁的纵向钢筋,按照曲率在弯曲机上制作。
③钢筋保护层厚度:砼支撑(板)35mm,砼围檩35mm。
④钢筋锚固长度:
HPB300级钢筋为30d,HRB335级钢筋为40d;砼支撑、顶圈梁主筋中,若采用搭接, 搭接长度不得小于35d;若采用焊接,单面焊接长度不小于10d,双面焊接长度不小于5d,钢筋接头错开50%。
⑤本工程钢筋可采用焊接或机械接头,正式安装前应从成品中取6件进行试验(3件冷弯,3件拉伸),代表一批(300个)同类型接头。
⑥钢筋绑扎牢固,以防浇捣砼时因碰撞、振动使绑扣松散、钢筋移位,造成漏筋
⑦绑扎钢筋时,按要求留足保护层,不得有负公差,绑扎铁丝不得接触板。
8支撑梁节点详图
①本工程采用木模板,支撑系统采用Ф48x2.5的钢管。钢筋混凝土水平支撑、圈梁侧模均采用优质胶合板,50×100方木楞,Ф48×2.5钢管扣件支撑体系,并根据受力计算设置一道对销螺栓夹具以防止涨模;底模采用低标号混凝土或砂浆上铺设优质胶合板模板。
木模板及钢管均按计划进入现场后,分规格堆放整齐。
②所用木模板及钢管要保证质量、无变形、锈蚀、破损,模板使用前涂刷脱模剂。
③圈梁、支撑对拉螺丝均设上、下两排;M14@750x600mm,内外钢楞及支撑均采用Ф48x2.5的钢管。两外侧竖向钢楞在顶标高以上180mm高度处采用Ф48x2.5的钢管对拉扣件连接。
④模板应平整,且拼缝严密不漏浆,当拼缝超差时,板缝间应加泡沫胶条。
⑤拆除的模板及脚手架堆放整齐,及时清理维修;拆除后的木模上不允许有朝天钉。
6.4.6. 混凝土工程①砼采用C30商品砼,塌落度10~12cm。为缩短养护期,提高砼标号至C40。
②浇灌砼前,应清除模板内的积水、木屑、铁丝等物。
③水平施工缝处为使接缝严密,砼浇灌前施工缝处应将其表面浮浆和杂物清除,用水冲洗湿润后铺上一层30~50mm厚的1:1水泥砂浆,并及时浇灌砼。
④砼应分层浇灌,每层约300~500mm,对称推进,以防模板向一侧便移,相临两层浇筑时间间隔不应超过2h。
⑤砼采用机械振捣,振捣时应均匀,一般水平间距300mm,振捣时间以10~30s为宜,以砼泛浆后不冒气泡为止,要做到快插慢拔,不得漏振、欠振和超振。
⑥砼的养护:防水结构砼(圈梁)养护好坏影响砼本身的抗渗性能,早期养护更为重要,浇水湿润养护不小于14d。
⑦砼试块的留置,每浇注一次且不大于100m3,留置一组抗压试块,在标准养护的条件下养护28d,同条件养护的抗压试块留置1组,下层开挖的时间以同条件养护试块的强度而定。
6.4.7.技术措施(1)人工将桩顶水泥浆及砼凿除至设计标高,并将桩顶砼面清洗干净,将钢筋调直。
(2)按照设计图准确测放各支撑及节点位置,按设计要求立好木模,要牢固。木模要平整,不应有通缝,支撑梁垫层底用锹修平并清理干净,如遇空洞应用粘土填实、压平,再铺以素砼垫层。
(3)钢筋绑扎前要检查,不得有油渍、漆污、老锈等。各接点绑扎及预埋件埋设和焊接一定要按图施工,各绑扎、焊接头应符合设计及规范要求。对于拉杆其主筋之间的连接不能采用绑扎方式,而应要求焊接,其焊接长度应满足设计及规范要求。绑扎好后不得踩踏,在浇筑混凝土前进行钢筋隐检。清理干净槽内杂物,在两侧模板内侧涮上脱模剂。另外,在钢筋绑扎过程中配合基坑监测人员预埋好各种检测计。
(4)混凝土须按要求浇灌、振捣及养护;混凝土应振捣密实,表面平整,不得出现蜂窝、麻面和露筋现象。
(5)在施工过程中四边的支撑可以分成两块浇筑,施工缝留在接头处的连系梁上,重新浇灌砼时,应将该施工缝凿毛并清洗干净,在界面用同配比砂浆湿润后,继续砼浇灌。
(6)节点处支撑主筋受立柱角钢和缀条阻挡,能绕则绕,不能绕过时,补足缀板的面积后割掉阻挡的缀板。
(7)钢柱和砼支撑交叉处,支撑底部钢筋和钢板平台留3㎝的缝隙做保护层,钢立柱中用砼灌成实心。
6.4.8.混凝土养护用塑料薄膜或麻袋对混凝土表面加以覆盖并浇水,使混凝土在一定的时间内保持水泥水化作用所需要的适当温度和湿度条件。
覆盖浇水养护应符合下列规定:
(1)覆盖浇水养护应在混凝土浇筑完毕后8~12h内进行。
(2)混凝土的浇水养护时间,,不得少于7d,并保持混凝土处于湿润的状态。
在已浇筑的混凝土强度达到1.2N/mm2以后,始准在其上来往行人和安装模板及支架等。
6.4.9.拆模由于尚未开挖,支撑梁尚未受力。按照规范要求,不承重的侧面模板,应在混凝土强度能保证其表面及棱角不因拆模板而受损坏,方可拆除。
在支撑砼同条件试块达到100%设计要求时,即可在完成即开坑土方开挖施工技术交底和安全施工技术交底后安排进行钢筋砼内支撑的拆除清理工作。
6.5. 土方开挖(按专家意见更改)6.5.1 施工开挖要求6.5.1.1. 土方开挖前施工单位应编制详细的基坑支护与土方开挖施工组织设计,递交一份至基坑围护设计单位,经过相关部门和专家组评审通过并通过节点验收后方可开挖。
6.5.1.2. 鉴于地质勘察报告中显示本工程基坑中下部及以下土质均为均为淤泥质粉质粘土,含水量较大(含水量达到43.3%),为防止在进行基坑开挖时,挖掘机和土方本身的自重对工程桩造成影响,经业主单位与设计协商,本基坑内工程管桩周围采用单轴水泥搅拌桩进行管桩桩身保护。该水泥搅拌桩安排在钢筋砼内支撑施工前施工完成。
6.5.1.3. 本基坑土方开挖应按照分层、分段、分块、对称、平衡、限时的方法确定开挖顺序;本基坑边长较长,为控制基坑长边效应,按照内支撑的设计分格情况结合后浇带(膨胀加强带)的结构设置情况,在进行基坑土方开挖时,拟以膨胀加强带为界,划分为东西两个区,膨胀加强带东侧为东区、膨胀加强带西侧为西区,但在进行基础结构施工时,将结合后浇带设置分区分块施工。
6.5.1.4. 基坑开挖的土方不得在临近建筑及基坑周边影响范围内堆放,并应及时外运。
6.5.1.5. 基坑土方机械开挖拟分为两层进行开挖:第一层为设计的钢筋砼支撑底面,开挖标高为自然土面至-2.5m,为加快土方开挖速度,拟安排4台挖机,以中间膨胀加强带为界,分别向东西两侧开挖推进,出土口为原设计的东西(即出土口一、二)两个出土口,具体详见附后土方开挖路线图一;第二层为-2.5m~-5.30m和坑中坑土方,拟安排两台大挖机,出入口均设置在基坑南侧(即出土口三、四),先按施工方案修筑好土方运输坡道,长20m、宽度≧6m、坡度为10%,挖机先从入口处倒挖出土方开挖运输主通道,边挖通边铺设好钢板,运土车辆均从钢板上进出;当土方运输道路开挖进入到膨胀加强带处后,再按照开挖路线图二(详见附图)要求,从膨胀加强带分别向东西两侧进行,同时按照设计要求,顺便挖出基础承台、电梯基坑等坑中坑土方,最后预留300mm厚基坑土进行人工开挖清方。另外在进行第二层基坑土方开挖时,应注意按照业主方的要求,尽可能的将地勘报告上的粉质粘土层开挖短驳至本工程东南角土方堆放场地上,按以备今后土方回填之用,其余不符合回填土质要求的淤泥质土方,则全部外运出本工程场地;由于本基坑土方土质较差,在进行土方开挖施工中,下沉式基础承台和土方开挖的临时边坡坡度均按设计要求不大于1:3.0。
6.5.1.6. 坑底以上30cm土方应采取小挖机+人工修底的方式挖除,具体做法为:在两排承台之间的土面上垫置钢板,形成钢板道路,集中劳动力进行坑底土方人工开挖清方,土方均堆放到钢板路端部,由行走在钢板上的小挖机抓挖进运土车辆中外运,这样人机配合、向后倒退进行土方清挖,以防止坑底土体扰动;混凝土垫层力求做到随挖随捣,挖土到设计标高后,应在12小时内浇筑垫层,垫层浇至围护桩边,无垫层坑底最大暴露面积不得大于200m2。
6.5.1.7. 基坑分块开挖时,开挖至坑底后,相应分块底板需在20天内浇筑完成。
6.5.1.8. 基坑边超载应控制在设计荷载以内,并严格控制不均匀堆载;大量超载位置应另行加固。
6.5.1.9. 最后人工清挖基坑300mm厚土方时,严禁挖机直接进入开挖,以防碰撞或侧向挤压工程桩、围护桩等。
6.5.2 施工准备
6.5.2.1.技术准备
在基坑开挖前,做好技术交底工作,将基坑开挖分层位置、标高、深度等技术指标和质量标准,向全体施工人员详细进行技术交底,使全体施工人员熟悉并掌握本工程所执行的各项技术措施和技术标准。作好安全交底工作,明确危险源,作好安全预控预案,根据危险源制订安全施工措施。
6.5.2.2.施工准备
(1)办理各种施工手续,缴纳有关费用,并主动与执法部门取得联系,得到谅解和支持。
(2)踏勘、熟悉现场,会同建设单位、工程监理以及投资监理共同测定场地原始标高,并签证。校验基准点并进行施工图纸、施工要点、周边现场环境、控制点、水准点等技术交底。
(3)清除基坑范围内的障碍物,修好施工场地范围内运输便道。落实弃、存土场地并勘察运输路线。
(4)根据地质及水文地质资料,做好地面排水、基坑加固、基坑降水和地下水位观察等工作。
(5)地下管线的保护和监测措施已经制定,并经过有关管线单位的认可。按工程监测设计要求,做好不同类型的测点布置,并测得各测点的初始数据,使在基坑开挖施工中能够正确反映周围环境的变化,制订相应保护措施,确保周围环境、建筑的安全。
(6)划分分层及分步开挖的流程段。
(7)切实落实机械设备和土方外运工作及土方运输过程行驶道路环境污染工作。
(8)应急物资、设备进场,人员到位。
(9)在施工前期,提前做好卸土点的踏勘工作,尽量多预备几个卸土点。
6.5.3 基坑开挖技术条件
(1)基坑支护结构强度经检测达到设计强度要求:钻孔灌注桩、立柱桩、水泥土搅拌桩(坑外止水帷幕、坑内局部暗墩加固)、支撑体系结构强度等达到设计要求、坑外排水系统已完成且有效。
(2)各项施工开挖准备工作已完成,应急物资已到位。
(3)土方开挖前应按苏州市建设局《关于建立深基坑工程土方开挖前节点验收制度的通知》文件组织进行基坑工程土方开挖前节点验收并验收通过。
6.5.4. 土方开挖施工机械设备
由于本工程的土方量较大,同时土方工程是基坑施工的主要分项工程之一。因此,除了精心、合理地组织和协调施工外,应尽量选用工作效率较高的机械。
本工程基坑土方计算总开挖量约为3.8万m3。按本工程土体每天外运出土量平均一天需外运1600m3计算,1台220型挖机平均每天挖土800m3(每天按照10小时计算),为加快挖土进度,在进行第一层土方开挖时,配置4台220型,每台挖机配置4辆汽车,合计约16辆车;在进行第二层土方开挖时,配置2台220型,每台挖机配置6辆汽车,合计约12辆车;在最后的人工开挖清方阶段,安排2台小挖机,每台小挖机配置2辆运土车辆,共计4辆车。
土方开挖机械配备
序号
机械或设备名称
单位
数量
备注
1
反铲挖掘机PC220
台
4
其中2辆在第一层土方开挖完成后退出。
2
10t自卸汽车
辆
16
其中4辆在第一层土方开挖完成后退出。
3
反铲挖掘机ROBEX70
台
2
配合进行坑底土方装车外运。
5
镝 灯
只
6
夜间施工照明
6
水泵
只
8
基坑明水抽排
6.5.5.土方开挖总体流程
根据基础结构后浇带(包括加强带)的设置,将本工程土方开挖划分为4个区域,分别为Ⅰ区、Ⅱ区、Ⅲ区和Ⅳ区。鉴于本工程属于民生工程,工期相当紧张,本基坑土方量相对较大,在第一层基坑土方开挖时,在基坑东西两端部设置两个出土口,分别位于基坑的东西两端居中位置;在第二层基坑土方开挖时,考虑到基坑运土坡道的长度及基坑土方开挖运输的实际情况,在基坑南侧新设两个出土口,具体位置见附图;基坑土方开挖拟从基坑基础加强带开始,分别向基坑东西两侧开挖并按规定的出土口外运出土,土方外运从向湖路工地大门运出,所有外运车辆均从大门口设置的过水池通过并在大门口车辆冲洗平台冲洗干净后方可外运出本工地大门。
6.5.6.土方分层开挖
基坑分层开挖厚度按照本方案6.5.1.5条进行,临时边坡坡度不大于1:3.0。
6.5.7 土方开挖质量控制措施
(1)土方开挖时,应由工程技术人员架设好水准仪,计算并引测好土方开挖控制界面标高,挖机司机应听从工程技术人员指挥,每挖一段工作面,工程技术人员均应立即钉设好该土层挖深(预留300mm坑底土人工开挖)控制小木桩,以作为持续进行土方开挖的高度控制。
(2)承台桩部位土方开挖:首先明确标识承台桩位置,专人看护指挥,挖机在-2.50m标高进行承台部位的土方挖除,挖机下部铺设钢板,人工配合进行工程桩间300mm厚土方清方,挖机驾驶员必须小心操作,严禁超挖,以防碰撞、挤压到工程桩。
(3)开挖过程如出现与地质资料不符或遇暗浜等情况应及时与地质勘察院与设计院取得联系,以便共同商讨,妥善处理。
(4)土方开挖时,测量员配合施工员全过程控制开挖深度(基底标高),不得出现超挖现象。如个别地方超挖时,其处理方法应取得设计、地勘的同意,不得私自处理。
(5)在基坑开挖过程中,应提前预约建设单位、监理单位、地质勘察部门、设计单位以及质量监督部门,并做好报验资料,为基坑验槽作好准备。
(6)当基底人工清方达到一定工作面(基坑土层暴露面积≤200m2),必须立即请监理工程师会同工程勘察单位工程技术人员进行基坑验槽工作,确认符合要求后,项目部将立即组织进行基础垫层砼的浇筑施工,以避免基底土暴露时间过久,并尽最大努力在最短的时间内完成基础底板砼的浇筑施工,这对于确保基坑当基底人工清方达到一定工作面(基坑土层暴露面积≤200m2),必须立即请监理工程师会同工程勘察单位工程技术人员进行基坑验槽工作,确认符合要求后,项目部将立即组织进行基础垫层砼的浇筑施工,以避免基底土暴露时间过久,并尽最大努力在最短的时间内完成基础底板砼的浇筑施工,这对于确保基坑安全至关重要。因此要求项目部各施工班组密切配合,随时不间断的浇筑基础垫层,并应在基坑清土施工完工24小时内完成全部垫层砼浇筑施工。
6.5.8.土方开挖安全文明控制措施
(1)开挖边坡土方时,严禁切割坡脚以防导致边坡失稳。
(2)机械行驶道路应平整、坚实,必须要时底部铺设钢板以防止作业下陷。
(3)机械挖土应分层进行,防止塌方、溜坡等造成机械倾翻、淹埋等事故。
(4)多台挖掘机在同一作业面进行机械开挖时,挖掘机之间的间距应大于10m
(5)机械施工区域禁止无关人员进入场地内,挖掘机工作回转半径范围内不得站人或进行其他作业。
(6)挖掘机操作和汽车装土行驶要听从现场指挥,必须严格按规定的开行路线行驶,防止撞车。
(7)夜间作业,机上及工作地点必须有充足的照明设施,在危险地段设置明显的警示标志和护栏。
(8)土方运输严格执行《苏州市建设工程施工渣土运输管理暂时规定》,承运土方单位办理相关手续。
(9)在基坑土方开挖过程,应根据土方开挖的进度,及时做好基坑的临边防护,基坑临边防护采用Φ48壁厚2.5mm的钢管搭设,高度不得少于1.2m,栏杆应涂刷黄黑间隔的安全色。
(10)夜间施工时,应配备足够的照明设施。在危险地段应设置明显标志。
6.5.9.基坑排水(按专家意见更改)
(1)根据本工程地质勘察报告可知,本工程基坑积水主要有地表水和雨水,本工程基坑上部沿基坑四周靠围墙建有排水沟(井),以满足基坑内地下水抽排需要。
(2)基坑上部坑边1000mm范围内地表面均需按照设计要求浇筑80mm厚钢筋砼,同时沿基坑四周砌筑300mm高300mm宽排水明沟,内侧粉刷1:2.5防水砂浆,以阻止地面雨水流入基坑。
(3)土方开挖至坑底后,立即安排劳动力沿基坑底部四周开挖并砌筑300mm×300mm排水明沟,沟底浇筑100mm厚砼垫层,明沟排水坡度≮1.5%,在基坑周围四角设置集水井直径为600mm的集水井及沿基坑底部四周@8000mm~10000mm 设置一个直径为500mm的集水井,集水井内设潜水泵抽排积水,排向基坑上部外围的排水沟(井)中,并流至市政排水管网内。
(4)基坑中部@8000mm设有200mm×200mm排水暗沟,坡度排向基坑底部四周的排水明沟中,由集水井中的潜水泵抽排出基坑,排水暗沟采用粒径为25mm~35mm的碎石填没。
(5)坑中坑(柱基)中积水的抽排:在坑底设置排水坑(Ø300mm、深200mm),用小水泵逐一将积水抽排至基坑周边的排水沟(井)中,由排水井中的大水泵集中抽排至坡顶排水沟中排出场外。
6.5.10.基坑安全通道
因本工程基坑面积大,深度较深,在基坑内南北两侧沿坡面各搭设一座之字形爬梯作为施工及安全通道;爬梯宽2m,钢管安全栏杆,高≥1.2m并用安全网或木模板满封,围栏下砌筑200mm挡水墙。
6.5.11. 基坑监测
基坑开挖与支护是项风险工程,地下工程极其复杂,在基坑开挖整个过程中进行全过程监测,实行信息化管理,对指导开挖施工确保安全是很有必要的,而且是非常重要的,对此,本工程建设单位非常重视,已委托专业监测单位----苏州市建设工程质量检测中心有限公司进行本工程基坑的相关监测工作,专项检测方案详见附后。我项目部主要做一下几方面监测:
(1)进行基坑周边日定时巡视,观测基坑支护面层,是有否隆起,开裂,出水等现象;发现险情及时上报。
(2)应按基坑支护工程设计说明中,“现场施工监测要求”,做好与专业监测单位的监测人员工作配合。
(3)专业监测单位的监测:基坑围护监测须由专业的监测人员进行,并及时将监测资料反馈基坑支护设计方,以便及时分析处理。
6.6.换撑施工(按专家意见增加)
6.6.1.设计做法:基坑土方开挖完成后,整个基坑满浇C15素砼垫层,直至基坑围护灌注桩边,并及时在基础底板外侧与围护灌注桩之间浇筑C35素砼,厚度400mm。具体做法详见下图:
6.6.2.施工流程:
基坑底土方清方
验槽、浇筑砼垫层→施工放线→基础砖模砌筑→浇筑换撑砼→换撑砼养护
→
6.6.3.施工方法
6.6.3.1.基坑底300mm厚人工开挖并清方完成后,立即请工程勘察单位、监理单位等进行共同验槽,经确认后即可进行C15素砼垫层的浇筑施工,机械打磨平整,并浇水养护。
6.6.3.2.根据结构施工图,用全站仪进行基坑结构底板定位并弹好基础底板(承台)外边线,用水准仪引测好基础底板面标高,并立好砖模皮数杆。
6.6.3.3.安排瓦工班组进行基础底板(承台)外侧砖模(墙厚200mm)砌筑,砌筑材料:MU7.5水泥实心砖、Mb7.5水泥砂浆,砖模内侧15mm厚1:3水泥砂浆一底一面粉底抹光,以备底板防水施工。
6.6.3.4.在砖模砌筑完成后,安排瓦工班组进行砖模外侧至基坑外侧灌注桩之间的清理工作:一是清理干净垫层面的泥土、掉落的砂浆、砖块和其它杂物并浇水湿润垫层面;二是清除基础底板(承台)范围内的桩身内侧松动的泥土,以便砼换撑能顶实顶牢灌注桩。
6.6.3.5.当砖模砌筑完成并达到一定强度后,即可浇筑基坑支护换撑砼,砼采用泵送商品砼、强度等级C35、塌落度12cm±3cm。
6.6.3.6.换撑砼浇筑前应在围护灌注桩内侧做好砼浇筑的标高标志,以便砼浇筑整平。
6.6.3.7.砼浇筑应尽量连续浇筑,并采用平板振动器振捣密实,平板震动器移动时应保证平板能够覆盖已振实部分的边缘。振捣时间以砼表面出现浮浆及不出现气泡、不再下沉为宜。
6.6.3.8.砼振捣密实后,砼表面用铝合金刮尺刮平,木蟹打磨平整,并在砼初凝前再用木蟹打磨、铁抹子压光。
6.6.3.9.砼终凝后,砼表面连续浇水养护(保持砼表面湿润)7d。
6.7.支撑拆除(按专家意见增加)
6.7.1.砼支撑拆除的前提条件
6.7.1.1地下室基础底板及换撑带达到设计强度的80%以上.
6.7.1.2编制专项拆除方案,并按照规定通过专家审查。
6.7.2拆除支撑应遵循的原则:6.7.2.1. 在相应的换换撑施工结束且达到设计要求强度后方可拆除相应的砼支撑。
6.7.2.2. 支撑与圈梁连接处应先给予凿断,避免大面积拆除支撑时由于密集的振动对临近环境产生不利影响。
6.7.2.3.“先拆除连系梁后拆除主支撑梁,角撑采用对称拆除”
6.7.2.4. “先破砼梁,再切断梁的主筋”
6.7.3.拆除工艺流程
施工准备(包括安全围挡、脚手架、防护棚搭设及验收)→机械吊入基坑→拆除基坑四角角支撑→拆除砼连系支撑→拆除砼主支撑→梁主筋切割→ 拆除脚手架→人工清理→格构柱割除→垃圾外运
6.7.4.拆撑前的准备
6.7.4.1.设备和人员准备
(1).劳动力投入计划根据施工进度和支撑破除工程量,估计拆除清理人员60人左右,具体人员安排按实际要求投入。
序号
人员类别
数量
序号
人员类别
数量
1
气割人员
6人
6
钢筋整理
10人
2
垃圾清理
20人
7
安全巡视人员
3人
3
环境保洁
3人
8
人工拆除人员
10人
4
吊车驾驶员
1人
9
铲车驾驶员
2人
5
破碎机驾驶员
4人
(2).机械投入计划名 称
型 号
数 量
单 位
产地
备注
空压机
2.6m3
2
台
浙江
人工破碎
风镐机
4
台
一台空压机配三台风镐机
气割工具
4
套
切割钢筋
乙炔瓶
4
瓶
切割钢筋
钢丝网兜
4
张
吊装垃圾
小铲车
2
台
韩国
倒运垃圾
吊车
16吨
1
台
韩国
吊装垃圾
工程车
20吨
2
台
运输
挖掘破碎机
DH220LC-7
2
台
斗山
支撑破碎
挖掘破碎机
DX150LC-7
1
台
斗山
支撑破碎
镐头机
DXB170S
3
台
斗山
支撑破碎
走道板
6X1.5X0.2
若干
垫挖掘破碎机
(3).支撑拆除工期根据基坑围护设计图纸,待基础底板及其传力带达到设计强度的80%后,拆除钢筋砼支撑,支撑拆除工期为20日。
6.7.4.2.拆撑施工技术和安全施工技术交底
由项目技术负责人根据本工程基坑支护的特点与支撑拆除的技术、安全要求和注意事项,对参与拆除的全体人员进行逐一讲解、交底清楚,以便所有的参与人员对即将拆除的施工任务、拆除顺序、方法和注意事项做到了然于胸。
6.7.4.3.墙柱钢筋、后浇带及地下室底板砼的保护
拆除前由项目部安排架子工班组按照专项方案中的防护架搭设要求搭设完成防护架,用以保护墙柱钢筋地下室底板砼不受拆除掉落的砼块破坏,并由项目部、监理单位对防护架进行验收,验收合格后方能进行下步施工。
开拆前对基坑及支撑下面的预埋钢筋或构件认真做好防护工作,即用搭设脚手架后再铺设薄板或壳板,形成坚实斜面的保护架,阻挡砼块坠落而压弯预埋性钢筋的发生。机械移动办法:机械车坑内作业移动时如遇有预埋钢筋不能穿越,按照常规操作的办法,一般采用就地将钢筋弯曲,下铺条木,上覆钢板再穿越。在条件许可的情况下尽可能绕预埋筋通行,斜抛撑部位必须绕开通行。
(1).外围墙柱钢筋的保护方法
图 外围墙柱钢筋保护
(2).中间柱钢筋保护方法
图 中间柱钢筋保护
(3). 基坑内竖向钢筋的保护
在机械破碎过程中,机械行驶时要加强对底板竖向钢筋的保护,柱子钢筋禁止压弯,剪力墙钢筋应尽量绕行。如实在需要通过,可将插筋做成门槛筋,铺设木条,上铺模板或钢板作为机械行驶的通道。
(4).后浇带和安装预留洞的保护
后浇带要在破碎前用模板覆盖,防止砼渣掉入,覆盖的高度要低于周边1cm,利于机械清渣;安装预留洞处用模板覆盖,并在外围用警戒线设置醒目标志,除防止砼渣掉入外,还要防止机械车辆、人员掉入造成安全事故。
(5).地下室底板砼面保护
由于支撑拆除采用履带式普通镐头机(约22吨)在地下室底板面上进行拆除施工,由于地下室筏板砼强度等级C35,承载力能满足施工要求,但为防止机械在移动时对砼表面造成破坏,因此在机械施工移动范围内的地下室底板面上铺设钢板用以保护砼面。
6.7.5.支撑拆除方法
根据周边环境、现实条件和工期要求,我方主要采用破碎机拆除钢筋砼支撑,拆撑方法主要为机械拆除,对于机械无法拆除的部位,采用人工拆除。
6.7.5.1.拆除平面顺序:
拆除顺序为南北两侧对称拆除,拟采用4台镐头机在1区、2区、5区、6区同时进行对称拆除作业,并分区逐块向中间靠拢,最后在中间收尾。详见“支撑机械拆除分区图”
6.7.5.2. 50T汽车吊将机械吊入基坑:
用50T汽车吊将拆除机械吊入基坑。机械主要有普通镐头机、铲车、小挖机等。
6.7.5.3.支撑破碎拆除:
机械拆除围檩及支撑梁时,采用普通镐头机(约22吨)立于底板铺设好的钢板上进行拆除。机械就位后确定位置开始对砼支撑进行破碎拆除,破碎的砼块一般控制在20cm以内,避免因砼块过大坠落大底板上,造成结构损坏。
对于机械无法拆除的边角部位,采用人工风镐拆除
采用人工拆除的施工部位,需先搭设脚手架,并且脚手架验收合格后方可进行施工,施工人员必须系好安全带。
其作业形式为:进场→搭设脚手架→剥离砼保护层→切割钢筋→剥离钢筋→破碎砼→拆除脚手架→施工完毕退场。
人工风镐拆除时搭设安全脚手架要求:
横向间隔1米,纵向间隔1.2米,重点部位采用双排钢管,支撑下平面与钢管间隔0.1米,用扣件牢固,脚手架上铺竹笆或平放木板,使工人站在脚手架上平稳操作。每条支撑梁从中间开口向两端破凿,使支撑梁重量分开,承载在底层钢筋和脚手架上,凿成0.3米以下块度。
6.7.6、基坑观测
对于采用钻孔灌注桩加内支撑的深基坑,围护结构在基坑支撑拆除过程中边界条件是不断变化的,在拆除过程中和拆除后,请业主委托第三方监测单位,按检测方案对基坑位移进行观测,支撑拆除期间应增加基坑监测频率,发现情况及时汇报,及时采取有效应急措施。
凡本网注明“来源:砂石装备网”的所有作品,版权均属于砂石装备网,转载请注明。
凡注明为其它来源的信息,均转载自其它媒体,转载目的在于传递更多信息,并不代表本网赞同其观点及对其真实性负责。
如有新闻稿件和图片作品的内容、版权以及其它问题的,请联系我们。
当前,全球供应链深度重构,中国工程机械行业正站在机遇与挑战并存的关键节点。 全球来看,地缘政治与贸易摩擦为出海之路增添变数。与此同时,国内政策托底与设备更新周
2025-10-21 10:16:25
2025长沙国际工程机械展览会东南亚分展 2025 SOUTHEAST ASIA SUB-EXHIBITION OF CHANGSHA INTERNATIONAL CONSTRUCTION EQUIPMENT EXHIBITION 2025年9月3-5日(三天) 地点:马来西亚·吉隆坡实达城会展中心(SCCC...
2025-07-03 16:25:30
核心摘要:2025年5月18日,为期四天的第四届长沙国际工程机械展览会(以下简称“2025CICEE”)在长沙国际会展中心正式落下帷幕。本届展会 2025年5月18日,为期四天的第四届长沙国际工程机械展览会(以下简称“2025CICEE”)在长沙国际会展中心正式落下帷幕。本届展会以"高端化、智能化、...
2025-05-19 11:21:21
2025年5月15日上午9时40分,第四届长沙国际工程机械展览会在长沙国际会展中心隆重开幕。本届展会规模达30万平方米,全球1806家参展企业齐聚一堂,集中展示工程机械领域的最新技术与产品。1000余名全球行业领袖、院士专家、企业代表及国际采购商共同参会,见证这一国际工程机械领域的年度盛事。...
2025-05-16 08:31:29
日立建机参展的首台设备——ZX900LCH-6A矿山液压挖掘机。抵达长沙国际会展中心的卡特彼勒挖掘机。红网时刻新闻5月8日讯(记者 彭超)第四届长沙国际工程机械展将于5月15日开幕。还有一周的时间,国内外品牌相继进驻场馆布展。5月8日,日本日立建机、美国卡特彼勒两家全球工程机械50强企业的参展设备进驻长沙国际会展中心,...
2025-05-10 11:48:38
4月30日,湖南省政府新闻办举办新闻发布会,宣布第四届长沙国际工程机械展览会将于5月15日至18日启幕。当天,装载三一集团蓝色电动装载机的运输车辆驶入长沙国际会展中心,这也是第二家正式布展企业。据悉,三一集团将携旗下18个事业部和子公司、72件套设备(含58台主机)震撼登场,以10089平米的超大展位,全面展现三一的高...
2025-05-06 20:27:36
2025年4月30日,湖南省新闻办公室召开新闻发布会,宣布第四届长沙国际工程机械展览会定于5月15日至18日在长沙国际会展中心、长沙国际会议中心举办。长沙市人民政府副市长康镇麟出席发布会并介绍展会筹备情况:本届展览会以高端化、智能化、绿色化新一代工程机械、应急装备、矿山装备、农业机械为主题,预计吸引全球1650家参展企...
2025-05-06 20:27:07
5月,世界的目光将聚焦长沙。第四届长沙国际工程机械展将于5月15日至18日在长沙国际会展中心、长沙国际会议中心举行。4月29日,随着“全球工程机械制造商50强”中联重科的首批百吨设备进场,展会进入布展时间。上午9时30分,装载着中联重科工程机械零部件的平板车缓缓驶入长沙国际会展中心,荧光绿的漆面在阳光下格外显眼。这些设...
2025-04-30 09:19:07
当全球工程机械产业的聚光灯再次投向湘江之畔,2025CICEE《高端化、智能化、绿色化——新一代工程机械、应急装备、矿山装备、农业机械》电子会刊第二期正式发布。继首期会刊创下超192万次阅读的行业纪录后,本期会刊汇聚183家全球领军企业,以尖端技术产品和创新解决方案,续写“工程机械之都”的传奇篇章。01硬核生态:解码产...
2025-04-30 09:15:38
5月15日,2025长沙国际工程机械展览会(2025 CICEE)即将在长沙国际会展中心盛大开幕,届时,来自全球60多个国家和地区的超1600家参展商,将在30万平方米的展区内陈列超2万件展品,涵盖工程机械全领域前沿技术和产品。目前,众多展商已蓄势待发,期待在这个推动全球工程机械行业交流与合作的超级平台上一展风采。...
2025-04-17 08:31:38
主营:破碎机
主营:破碎机
主营:破碎机
主营:破碎机
主营:破碎机
主营:破碎机、制砂楼
主营:破碎机
主营:破碎机
主营:筛网、筛机配件
主营:振动电机
主营:破碎机
主营:制砂机、筛分设备